2025年11月5日,北京师范大学徐佳路老师指导研究生张宗亮在Nature Communications期刊在线发表了题为“Decadal changes in wind speed have offset and then aggravated the impact of warming on maize production in China since 1980”的研究论文。
风速是气候变化影响评估中一个被严重忽视的变量,研究发现风速变化对玉米单产存在显著影响。在历史风速静止(下降)阶段,风速趋势抵消了升温对玉米生产带来的负面影响;但随着风速静止趋势逆转(上升),风温共同升高,玉米减产风险加剧。该研究凸显了在评估气候变化对粮食生产的影响时,必须系统考虑风的作用,为深入理解气候影响及制定适应措施提供了重要参考。
风对作物生长和产量形成的主要影响
风速是影响植物生长的重要环境因子。它可直接调节气孔导度、改变叶片姿态、影响冠层光截获,进而调控光合作用与蒸腾作用等关键生理过程。此外,风常与其他环境因素互作影响蒸散发,从而改变植物生长的水热条件。

在特定情况下,风可能引发土壤侵蚀与养分流失,或导致叶片撕裂、茎秆倒伏等直接机械损伤。生态系统尺度的研究已揭示风速变化对植被的大范围影响,田块及作物尺度的研究也积累了风影响作物生长与产量形成的证据。然而,在宏观时空尺度上,风对作物的影响仍有待进一步阐明。

图1. 风对作物生长和产量形成的主要影响
历史风速趋势及玉米单产对风速的响应
近几十年来,全球多地近地表风速出现了显著的静止和逆转趋势。本研究发现,我国大部分玉米种植区在生育期内也存在类似气候变化规律。1980‒2010年间,风速以0.013 m s-1 yr-1的速率显著下降;2011‒2017年间,风速以0.05 m s-1 yr-1的速率迅速回升。
在研究期内,温度以0.03 °C yr-1的速率持续上升,降水未表现出显著变化趋势。基于多源观测数据,本研究构建了气象-单产固定效应模型,发现玉米单产与风速之间存在显著负相关:风速距平每增加1m/s,玉米单产平均下降9.4%。该关系通过了多项稳健性检验。

图2. 玉米单产对风速距平的响应及稳健性
历史风速趋势对玉米生产的影响
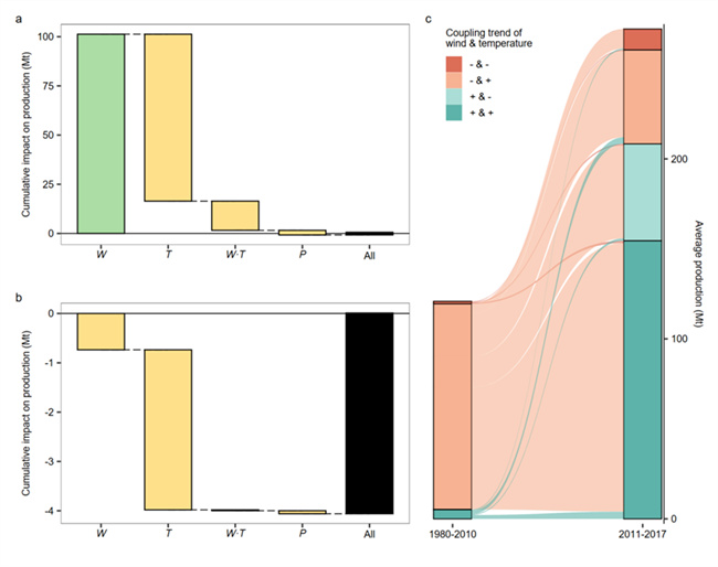
研究进一步评估了我国历史风速变化对玉米生产的累计影响。结果显示,1980‒2010年年风速减弱期间,风速下降趋势累计促进全国玉米增产101 Mt,完全抵消了同期因升温所造成的产量损失。然而,2011年之后风速趋势发生逆转,其抵消效应显著减弱。

图3. 历史气候趋势对玉米产量的影响
尽管从全国累计影响来看,风速变化的整体效应仍为增产,但在县级尺度上已出现风速与温度共同导致减产的情况。1980‒2010年间,受风温共同升高影响的县域其玉米产量仅占全国的4.3%;而在风速趋势逆转后,这一比例上升至55.3%。表明风温共同升高对玉米生产的威胁正在不断扩大。

图4. 典型风温趋势组合及其对玉米产量的累积影响
作物模型在评估风速影响上的表现
研究进一步探讨了风速影响被忽视的原因,主要可归结为数据差距与机理不足两方面。基于ISIMIP3a数据的分析显示,现有作物模型在表征历史风速趋势影响方面存在明显局限:
再分析气象数据难以准确反映实际风速变化趋势,导致模拟结果与本研究的观测事实差异显著
作物模型中尚未完整纳入与风相关的机理,造成其对历史风速变化影响的低估
为更全面评估风速对粮食生产的影响,未来仍需持续改进气象数据质量并完善作物模型中对风速机制的刻画。
研究团队与资助信息
教育部巨灾模拟与系统性风险应对国际合作联合实验室及北京师范大学国家安全与应急管理学院为论文的第一及第二单位,硕士研究生张宗亮为论文第一作者,徐佳路副教授为本文通讯作者。
合作者还包括:
北师大粮食安全团队张朝教授
博士研究生庄慧敏、李少坤
西湖大学张羽中研究员
中国科学院地理科学与资源研究所陶福禄研究员
该研究得到以下项目资助:
国家自然科学基金(42301187、42061144003)
中央高校基本科研业务费专项资金(2243300007)
原文:https://doi.org/10.1038/s41467-025-64725-z





