玉米是我国第一大作物,占全国粮食总量的近40%。随着我国人口增长和生活水平的提高,玉米需求量不断上升。我国的耕地面积有限,提高单位面积产量是解决玉米供给的重要途经,也是玉米育种的重要目标。
玉米产量主要由有效穗数、穗行数、行粒数和百粒重等性状组成。一般而言,穗部性状与产量呈正相关关系。任洪雷等对74个玉米杂交种产量与主要农艺性状进行逐步回归分析和通径分析,结果表明百粒重、穗长和穗行数等是影响玉米产量的主要因素。同时,多位学者也研究了不同年代玉米品种穗部变化趋势。随着年份的增加,张泽民等研究发现河南省玉米品种的穗粗和穗行数改良效果明显。史新海等发现山东省1976‒1995年期间中早熟玉米杂交种的公顷产量、千粒重等呈上升趋势,穗长呈下降趋势,而穗行数、穗粒数等无明显变化。谢振江等研究了70年代以来大面积推广的玉米杂交种产量与农艺性状的关系,表明最新品种的公顷粒数和千粒重显著增加,抗病性显著增强。张海燕等研究表明1950年以来大面积推广的玉米品种穗粒数和百粒重的提高是我国玉米品种产量稳步提升的主要原因。范雅芳等对我国1970s‒2000s玉米杂交种的品质性状和产量进行分析,认为容重与产量正相关。刘志铭等分析了吉林省1980s‒2010s玉米品种性状表现,表明其产量的提高得益于穗粒数和单位面积穗数的增加。Echarte等分析阿根廷1965‒1993年的玉米杂交种,结果表明新品种单穗粒重的增加是其产量增加的重要原因。
关于我国不同年份主推玉米杂交种在不同种植密度下主要穗部性状变化规律鲜有报道。本研究选取1980s‒2010s中国大面积推广的12个玉米杂交种,设置了两个试验密度(6万株/hm²和12万株/hm²),旨在探究不同年代玉米杂交种穗部性状的变化趋势以及不同种植密度下的选择响应,为以后玉米品种穗部性状改良提供参考。
1 材料与方法
1.1 试验材料
以1980s-2010s中国主要玉米杂交种为试验材料(表1),包括中单2号、丹玉13、沈丹7号、农大108、四单19、掖单13、郑单958、浚单20、先玉335、DK516、德美亚3号、华美1号,共计12个玉米杂交种。

1.2 试验方法
本试验于2017年、2018年在吉林公主岭(43.50°N,124.82°E)和辽宁沈阳(41.80°N,123.38°E)进行两年两点试验。采用裂区试验设计,设置高种植密度(12万株/hm²)和低种植密度(6万株/hm²),4行区,3次重复,田间管理同大田。每个小区收获中间2行,从中随机选取10穗进行穗部性状考种,包括穗长、穗粗、穗行数、行粒数、秃尖长以及百粒重。
1.3 统计分析
采用Microsoft Excel 2016进行数据处理。采用SPSS26.0进行描述性统计和方差分析。为减少试验误差,利用R语言估算各小区表型性状在多环境下(年份×环境)的最优线性无偏估计值(BLUE,best liner unbiased estimates),用于比较表型性状的差异性。采用最小显著性差异法(LSD,least-significant different)比较均值间的差异显著性,计算不同年份玉米杂交种的变异系数,并用Excel进行制图。
2 结果与分析
2.1 不同年代玉米品种主要穗部性状特征
由表2可知,穗长在品种间和年代间差异均未达到显著水平,表明随着品种的更替,穗长的改良效果未见明显差异,故后续不再分析穗长变化趋势。穗行数、行粒数、百粒重等穗部性状品种间差异均达到极显著水平,而穗粗、秃尖长、穗行数和百粒重在不同年代间呈显著性差异,不同年代杂交种行粒数差异不显著,表明随年代品种更替行粒数未见明显变化。穗长、穗粗、秃尖长和行粒数在不同种植密度下差异达到极显著水平,穗长、穗粗、秃尖长、穗行数、行粒数和百粒重等穗部性状在不同环境间差异均达到极显著水平,只有百粒重在年代和种植密度互作上存在显著差异。除穗长外,其他穗部性状在年代与环境间互作上差异均未达到显著水平。穗长、穗行数、行粒数和百粒重等性状在环境与种植密度互作上差异达到显著或极显著水平。

对品种间差异显著的性状进行多重比较(表3),低种植密度条件下穗行数14.76~17.31行,变异系数为12.79%,其中掖单13穗行数最多(17.31行),中单2号最少(14.76行);行粒数在33.76~39.36粒,变异系数为9.41%,其中DK516的行粒数最多(39.36粒),德美亚3号的行粒数最少(33.76粒);百粒重在35.32~45.56 g,变异系数为12.37%,其中郑单958的百粒重最大(45.56 g),华美1号最小(35.32 g)。在高种植密度条件下,穗行数在14.07~16.75行,变异系数为14.30%,其中掖单13的穗行数最大(16.75行),中单2号最小(14.07行);行粒数在31.25~35.19粒,变异系数为12.43%,其中四单19的行粒数最大(35.19粒),郑单958最小(31.25粒);百粒重在31.19~44.05 g,变异系数为12.37%,其中郑单958的百粒重最大(44.05 g),华美1号最小(31.19 g)。整体来看,不同种植密度下1990s杂交种掖单13的穗行数、2000s杂交种郑单958的百粒重表现最佳,而2010s杂交种DK516和1990s杂交种四单19的行粒数较多,1990s后选育的玉米品种穗部性状综合表现较好,受种植密度影响较小。


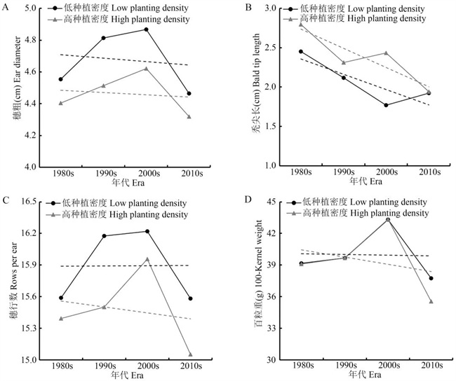
2.2 不同年代玉米杂交种主要穗部性状变化
对年代间差异显著的性状进一步分析(图1),发现在低种植密度条件下随着年代更替,穗粗、穗行数和百粒重均呈先增加后降低的趋势,均在2000s达到最大值,2010s显著下降;秃尖长整体呈下降趋势,降幅较大,平均每10年降低0.19 cm。在高种植密度下,穗粗、穗行数和百粒重随着年代的更替呈先增加后降低的趋势,均在2000s达到最大值,2010s显著下降;秃尖长整体呈明显下降趋势,平均每10年降低0.24 cm。综合来看,不同年代杂交种穗粗、秃尖长和百粒重性状在高和低种植密度下均有下降趋势,穗行数在不同密度下变化趋势有差异,但秃尖长随品种更替变化更显著,表明品种秃尖改良效果明显。

图1 不同年代玉米杂交种主要穗部性状的变化
Fig.1 Changes of ear traits of maize hybrids in different eras
2.3 同一年代玉米杂交种穗部性状对不同种植密度的变化响应
对密度间差异显著的性状进行比较(表4),除秃尖长外,不同年代杂交种在低种植密度环境的穗部性状数值普遍高于高种植密度环境,随着种植密度的增加,玉米杂交种均表现为穗长变短、穗粗变细、秃尖长变长、行粒数变少。其中,老品种(1980s‒1990s)穗长分别降低9.82%、7.82%,穗粗分别降低3.32%、6.27%,秃尖长分别增加13.94%、9.11%,行粒数分别降低10.11%、8.64%;而新品种(2000s‒2010s)穗长分别降低6.61%、10.09%,穗粗分别降低5.08%、3.24%,秃尖长分别增加37.72%、1.04%,行粒数分别降低12.30%、10.86%。综上所述,在高种植密度下2000s新品种穗长、2010s新品种穗粗的降幅及2010s新品种秃尖的增幅基本小于2000s以前的老品种,表明2000s后的新品种更加耐密。


3 讨论
3.1 不同年代玉米品种穗部性状表现
单位面积穗数、穗粒数和百粒重等穗部性状是玉米产量重要的构成因子,穗粒数受穗长、穗粗、穗行数、行粒数共同影响。其中穗长是行粒数的主要影响因素,与穗粗和穗行数共同制约着穗粒数。研究表明行粒数对穗粒数的影响比穗行数大。崔文芳等研究也表明,穗部各性状对产量的作用最大的为行粒数,其次是百粒重,穗长直接影响行粒数的多少。此外,秃尖也是影响玉米产量的重要因素,秃尖严重,行粒数会减少。前人就不同品种穗部性状与产量之间的关系进行了广泛的研究,结果表明穗长、穗粗、秃尖长、穗行数、行粒数、百粒重与产量密切相关,但是并未揭示不同年代主推玉米品种穗部性状的变化趋势及其对种植密度的响应特点。本研究选用穗长、穗粗、秃尖长、穗行数、行粒数和百粒重作为主要穗部性状,阐述了1980s‒2010s我国主要玉米品种的穗部性状差异及对种植密度的响应。研究发现不同年代品种间的穗行数、行粒数和百粒重差异较大,不同种植密度下1990s杂交种掖单13的穗行数最多,2000s杂交种郑单958的百粒重最大,而1990s杂交种四单19号和2010s杂交种DK516的行粒数较多。这与前人研究结果相符,陈传永等在不同种植密度下鉴定先玉335、郑单958和吉单209等杂交种的产量表现,也发现郑单958产量和百粒重相对较高;李丛锋等比较了1960s、1980s、2000s 3个年代玉米品种产量表现,表明2000s杂交种郑单958产量和百粒重显著高于1960s‒1980s品种;谢振江等的研究也表明1990s后品种穗行数、行粒数和百粒重等穗部性状要优于1990s前的品种。总体来看,1990s后选育的玉米品种穗部性状表现更佳,受种植密度影响较小。
3.2 不同年代玉米杂交种穗部性状演变特征
不同品种与密度的互作对产量影响有所差异,了解不同年代玉米杂交种在不同密度环境下变化特征对耐密玉米育种具有指导意义。在不同密度环境下,随着年代更替,1980s‒2000s杂交种穗粗、穗行数与百粒重均呈增加趋势,与前人研究结果一致,但2010s急剧下降,表明在2000s之前穗粗、穗行数和百粒重得到了有效改良,2010s杂交种穗部表现欠佳,可能与本研究选用的试验材料有关,其中德美亚3号和华美1号是东北及西北春玉米区适宜机械化高密植的杂交种,与2000s高产杂交种(浚单20、先玉335和郑单958)相比,在产量上差距较大。此外,随着年代更替,不同年代杂交种秃尖长逐渐下降,这与阎晓光等的研究相吻合,表明自1980s以来玉米秃尖性状改良效果显著。综上所述,1980s‒2000s期间,穗粗、秃尖长、穗行数与百粒重的改良效果显著,秃尖长改良最为明显。
3.3 不同年代玉米杂交种穗部性状对种植密度的响应
合理密植是玉米高产稳产的有效途径,但增加种植密度对穗部性状影响较大。本研究发现提高种植密度,不同年代玉米杂交种的穗长、穗粗及行粒数均有不同程度的降低,秃尖长均增加,与前人研究结果一致。卢庭启等研究表明增加种植密度,穗长变短、穗粗变细、穗行数和行粒数减少。Zhang等发现种植密度增加,秃尖长会显著增加,此外还发现新品种的穗长、穗粗和秃尖长受密度影响较小、更耐密。在高种植密度环境下,维持穗数、穗粒数和百粒重的平衡是取得高产的关建。本研究发现百粒重在不同种植密度下无显著性差异。因此,在未来玉米育种过程中应发展耐密育种,维持较高粒重的同时,改良果穗的穗长、穗粗、秃尖长和行粒数等穗部性状,进一步提高产量。
4 结论
1980s‒2010s期间玉米品种的穗行数、行粒数和百粒重差异达到极显著水平,穗粗、秃尖长、穗行数和百粒重在年代间差异显著。随着年代更替,秃尖长改良效果最显著,穗粗、穗行数与百粒重也得到了有效改良。随着种植密度增加,不同年代玉米杂交种果穗呈现穗变短、行粒数减少、穗变细,秃尖变长的趋势。建议在未来玉米耐密品种改良中应在维持较高百粒重的同时,加强穗长、穗粗、秃尖长、行粒数等性状的协同改良,以达到增产目的。
文章题目:不同年代玉米品种穗部性状对种植密度的响应
来源:植物遗传资源学报,2023,24(04):1016-1023
作者:张宇星,杨致远,张丰屹,李一,赵鑫哲,唐娟,史磊,刘晶,赵海岩,李明顺,张德贵,李新海,雍洪军,金峰





